Kinetic Energy Ball Bounces . use video analysis techniques to obtain position, velocity, and time data for a ball that is bouncing. If a ball falls on to a table from a. what if we could give the kinetic energy of the heavy ball to the lighter ball? What are the energy changes when a ball bounces? When two balls collide, they exchange energy. Stage one is the begging of every ball bounce, where potential energy from the height of. Kinetic energy and potential energy. the ratio of kinetic energy (after) to kinetic energy (before) is evidently, in this situation, \( e^{2}\). when a basketball bounces, it has two different types of energy: Kinetic energy is the energy an object has due to being in. bouncing ball physics is an interesting subject of analysis, demonstrating several interesting dynamics principles related to acceleration,.
from www.slideserve.com
what if we could give the kinetic energy of the heavy ball to the lighter ball? If a ball falls on to a table from a. Stage one is the begging of every ball bounce, where potential energy from the height of. What are the energy changes when a ball bounces? when a basketball bounces, it has two different types of energy: use video analysis techniques to obtain position, velocity, and time data for a ball that is bouncing. bouncing ball physics is an interesting subject of analysis, demonstrating several interesting dynamics principles related to acceleration,. Kinetic energy and potential energy. Kinetic energy is the energy an object has due to being in. the ratio of kinetic energy (after) to kinetic energy (before) is evidently, in this situation, \( e^{2}\).
PPT FORCES AND THEIR EFFECTS PowerPoint Presentation, free download
Kinetic Energy Ball Bounces the ratio of kinetic energy (after) to kinetic energy (before) is evidently, in this situation, \( e^{2}\). Kinetic energy and potential energy. the ratio of kinetic energy (after) to kinetic energy (before) is evidently, in this situation, \( e^{2}\). When two balls collide, they exchange energy. Kinetic energy is the energy an object has due to being in. If a ball falls on to a table from a. use video analysis techniques to obtain position, velocity, and time data for a ball that is bouncing. What are the energy changes when a ball bounces? what if we could give the kinetic energy of the heavy ball to the lighter ball? when a basketball bounces, it has two different types of energy: bouncing ball physics is an interesting subject of analysis, demonstrating several interesting dynamics principles related to acceleration,. Stage one is the begging of every ball bounce, where potential energy from the height of.
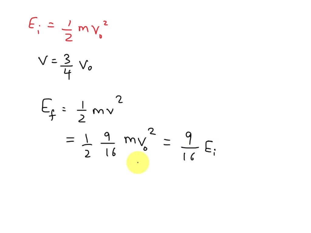
From www.numerade.com
SOLVED A golf ball hits a wall and bounces at 3/4 of the original Kinetic Energy Ball Bounces If a ball falls on to a table from a. use video analysis techniques to obtain position, velocity, and time data for a ball that is bouncing. What are the energy changes when a ball bounces? Kinetic energy and potential energy. the ratio of kinetic energy (after) to kinetic energy (before) is evidently, in this situation, \( e^{2}\).. Kinetic Energy Ball Bounces.
From imathworks.com
[Physics] Model/formula for bouncing ball Math Solves Everything Kinetic Energy Ball Bounces If a ball falls on to a table from a. bouncing ball physics is an interesting subject of analysis, demonstrating several interesting dynamics principles related to acceleration,. When two balls collide, they exchange energy. what if we could give the kinetic energy of the heavy ball to the lighter ball? Kinetic energy and potential energy. use video. Kinetic Energy Ball Bounces.
From www.walmart.com
Science First Energy Balls Kinetic Energy Ball Bounces Kinetic energy is the energy an object has due to being in. If a ball falls on to a table from a. bouncing ball physics is an interesting subject of analysis, demonstrating several interesting dynamics principles related to acceleration,. when a basketball bounces, it has two different types of energy: What are the energy changes when a ball. Kinetic Energy Ball Bounces.
From fphoto.photoshelter.com
science physices dynamics momentum transfer Fundamental Photographs Kinetic Energy Ball Bounces the ratio of kinetic energy (after) to kinetic energy (before) is evidently, in this situation, \( e^{2}\). what if we could give the kinetic energy of the heavy ball to the lighter ball? Kinetic energy is the energy an object has due to being in. Stage one is the begging of every ball bounce, where potential energy from. Kinetic Energy Ball Bounces.
From engineerfix.com
What Is Energy? Definition, Examples, Equation, and FAQs Kinetic Energy Ball Bounces use video analysis techniques to obtain position, velocity, and time data for a ball that is bouncing. Stage one is the begging of every ball bounce, where potential energy from the height of. Kinetic energy and potential energy. when a basketball bounces, it has two different types of energy: What are the energy changes when a ball bounces?. Kinetic Energy Ball Bounces.
From www.coolthings.com.au
Art Spinning Balls Observe the power of energy! Kinetic Energy Ball Bounces when a basketball bounces, it has two different types of energy: bouncing ball physics is an interesting subject of analysis, demonstrating several interesting dynamics principles related to acceleration,. the ratio of kinetic energy (after) to kinetic energy (before) is evidently, in this situation, \( e^{2}\). use video analysis techniques to obtain position, velocity, and time data. Kinetic Energy Ball Bounces.
From fphoto.photoshelter.com
science physices dynamics momentum transfer Fundamental Photographs Kinetic Energy Ball Bounces Stage one is the begging of every ball bounce, where potential energy from the height of. the ratio of kinetic energy (after) to kinetic energy (before) is evidently, in this situation, \( e^{2}\). when a basketball bounces, it has two different types of energy: bouncing ball physics is an interesting subject of analysis, demonstrating several interesting dynamics. Kinetic Energy Ball Bounces.
From www.scienceabc.com
Coefficient Of Restitution Definition, Explanation And Formula Kinetic Energy Ball Bounces Kinetic energy and potential energy. what if we could give the kinetic energy of the heavy ball to the lighter ball? use video analysis techniques to obtain position, velocity, and time data for a ball that is bouncing. What are the energy changes when a ball bounces? If a ball falls on to a table from a. Web. Kinetic Energy Ball Bounces.
From www.chegg.com
Solved A 1 kg ball bounces off the ground as shown The Kinetic Energy Ball Bounces when a basketball bounces, it has two different types of energy: Kinetic energy and potential energy. Stage one is the begging of every ball bounce, where potential energy from the height of. If a ball falls on to a table from a. the ratio of kinetic energy (after) to kinetic energy (before) is evidently, in this situation, \(. Kinetic Energy Ball Bounces.
From www.gcse.co.uk
and Potential Energy Stores Revision Notes • GCSE Physics Kinetic Energy Ball Bounces Kinetic energy and potential energy. What are the energy changes when a ball bounces? If a ball falls on to a table from a. When two balls collide, they exchange energy. Kinetic energy is the energy an object has due to being in. when a basketball bounces, it has two different types of energy: use video analysis techniques. Kinetic Energy Ball Bounces.
From www.flinnsci.com
Energy Ball Drop—Demonstration Kit Flinn Scientific Kinetic Energy Ball Bounces Kinetic energy is the energy an object has due to being in. What are the energy changes when a ball bounces? use video analysis techniques to obtain position, velocity, and time data for a ball that is bouncing. what if we could give the kinetic energy of the heavy ball to the lighter ball? Stage one is the. Kinetic Energy Ball Bounces.
From www.shutterstock.com
Conversion Potential Energy Types Ball 库存插图 1975837436 Kinetic Energy Ball Bounces Stage one is the begging of every ball bounce, where potential energy from the height of. bouncing ball physics is an interesting subject of analysis, demonstrating several interesting dynamics principles related to acceleration,. use video analysis techniques to obtain position, velocity, and time data for a ball that is bouncing. what if we could give the kinetic. Kinetic Energy Ball Bounces.
From www.cadau.nl
Newton Balls CoolGift Kinetic Energy Ball Bounces When two balls collide, they exchange energy. Kinetic energy and potential energy. what if we could give the kinetic energy of the heavy ball to the lighter ball? the ratio of kinetic energy (after) to kinetic energy (before) is evidently, in this situation, \( e^{2}\). Kinetic energy is the energy an object has due to being in. If. Kinetic Energy Ball Bounces.
From scienceline.ucsb.edu
UCSB Science Line Kinetic Energy Ball Bounces Kinetic energy and potential energy. when a basketball bounces, it has two different types of energy: Stage one is the begging of every ball bounce, where potential energy from the height of. what if we could give the kinetic energy of the heavy ball to the lighter ball? When two balls collide, they exchange energy. If a ball. Kinetic Energy Ball Bounces.
From www.nagwa.com
Question Video Identifying Changes in Energy for a Ball Thrown Kinetic Energy Ball Bounces Kinetic energy and potential energy. When two balls collide, they exchange energy. the ratio of kinetic energy (after) to kinetic energy (before) is evidently, in this situation, \( e^{2}\). If a ball falls on to a table from a. what if we could give the kinetic energy of the heavy ball to the lighter ball? Kinetic energy is. Kinetic Energy Ball Bounces.
From fphoto.photoshelter.com
science physices dynamics momentum transfer Fundamental Photographs Kinetic Energy Ball Bounces Kinetic energy is the energy an object has due to being in. use video analysis techniques to obtain position, velocity, and time data for a ball that is bouncing. bouncing ball physics is an interesting subject of analysis, demonstrating several interesting dynamics principles related to acceleration,. the ratio of kinetic energy (after) to kinetic energy (before) is. Kinetic Energy Ball Bounces.
From www.teachoo.com
Energy Definition, Formula, Examples Teachoo Kinetic Energy Ball Bounces bouncing ball physics is an interesting subject of analysis, demonstrating several interesting dynamics principles related to acceleration,. When two balls collide, they exchange energy. If a ball falls on to a table from a. use video analysis techniques to obtain position, velocity, and time data for a ball that is bouncing. when a basketball bounces, it has. Kinetic Energy Ball Bounces.
From www.youtube.com
A ball with original momentum +4.0kgm/s hits a wall and bounces Kinetic Energy Ball Bounces Stage one is the begging of every ball bounce, where potential energy from the height of. use video analysis techniques to obtain position, velocity, and time data for a ball that is bouncing. When two balls collide, they exchange energy. the ratio of kinetic energy (after) to kinetic energy (before) is evidently, in this situation, \( e^{2}\). Web. Kinetic Energy Ball Bounces.